Eskişehir’in nüfusu bir yılda bin 350 arttı

Eskişehir’in nüfusu bir yılda bin 350 arttı

Eskişehir’in nüfusu bir yılda bin 350 arttı

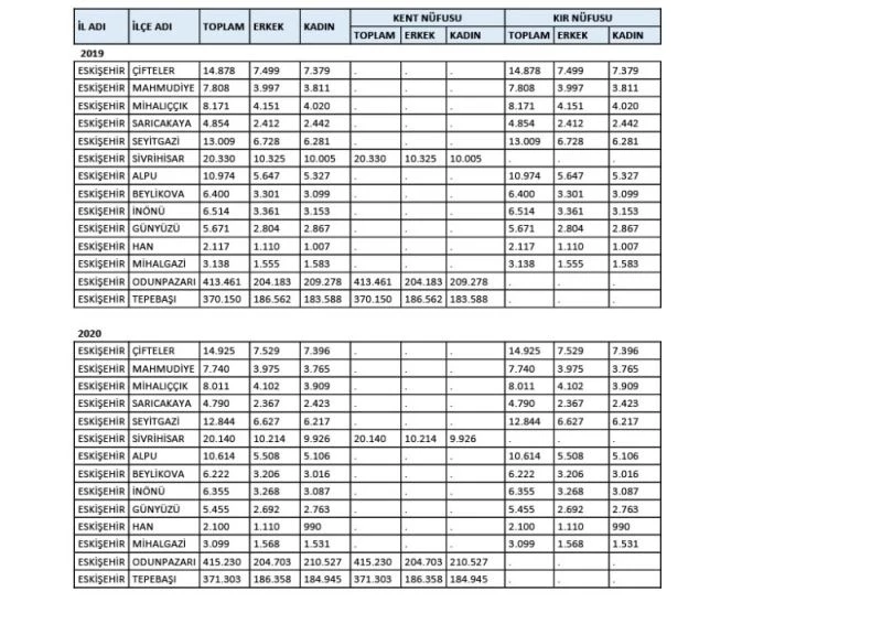
Türkiye İstatistik Kurumu’nun açıkladığı 2020 yılı nüfus verilerine göre Eskişehir’in bir önceki yıla göre nüfusu geçen yıl bin 350 arttı.
2019 yılında 887 bin 475 olan nüfus sayısı, 888 bin 823’e yükseldi. Geçen yıl il genelinde 443 bin 635 olan erkek sayısı 443 bin 227’ye inerken, 443 bin 840 olan kadın sayısı ise 445 bin 601’e yükseldi. Bir önceki yıl 803 bin 941 olan kent nüfusu 806 bin 673’e, kırsal nüfus ise 83 bin 534’den 82 bin 155’e geriledi.


Güncel 4.02.2021 14:04:29 0

İlginizi Çekebilir

1

Feke ilçesinde 4 halı saha hizmete alındı

2

Kırkpınar başpehlivanı Orhan Okulu kariyer günlerine katıldı

3

Alanya'da seyir halindeki otomobil yandı

4

Akkuyu Nükleer Güç Santrali'ndeki gelişmeleri Türk mühendisler anlatacak

5

Demre Noel Baba Festivali başladı

6

Doktor önerisi olmadan serum taktırılmamalı

7

Adana'da 15 yıl kesinleşmiş hapis cezasıyla aranan hükümlü yakalandı

8

Kahramanmaraş'ta silah kaçakçılığı operasyonunda yakalanan 1 zanlı tutuklandı

9

Kahramanmaraş'ta uyuşturucu operasyonunda yakalanan şüpheli tutuklandı

10

Yeşilay, Akseki'de anaokulu öğrencilerine yönelik sağlıklı yaşam etkinliği düzenledi